泰美艺术培训
  • 首页
  • 美术培训
  • 舞蹈培训
  • 音乐培训
  • 艺考资讯
  • 联考资讯
首页 包含"2025辽宁艺考排名查询时间"标签的文章
2025辽宁艺考排名何时公布? 艺考资讯

2025辽宁艺考排名何时公布?

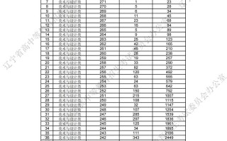
需要明确的是,辽宁省艺术类招生主要分为两大类:美术与设计学类和音乐舞蹈学类,这两类通常分别公布排名,最终录取看的是综合分排名,而不是单纯的术科(专业)分排名,以下是根据辽宁省教育考试院官方公布的信息整...

99ANYc3cd6 2026-01-15 8 #2025辽宁艺考排名查询时间 #2025辽宁艺考成绩公布日期 #2025辽宁艺考排名什么时候出

最新文章

  • 重庆艺考成绩复查结果何时能出?

    重庆艺考成绩复查结果何时能出?

    2026-03-22 0
  • 2025新疆音乐统考考什么?怎么准备?

    2025新疆音乐统考考什么?怎么准备?

    2026-03-22 0
  • 舞蹈考试具体开始时间是什么时候?

    舞蹈考试具体开始时间是什么时候?

    2026-03-22 0
  • 武汉体育艺考播音主持

    武汉体育艺考播音主持

    2026-03-22 0
  • 上戏舞蹈分数线2025

    上戏舞蹈分数线2025

    2026-03-22 0
  • 2025年济南大学音乐

    2025年济南大学音乐

    2026-03-22 0

热门文章

  • 1.红河学院舞蹈专业录取线是多少?
  • 2.豫章师范学院舞蹈学怎么样?
  • 3.2025美术文化分数线是多少?
  • 4.2025高考美术分数线会涨还是降?
  • 5.济南大学还招艺术联考考生吗?
  • 6.湖南工艺美术职业学院有何特色?
  • 7.广州大学音乐专业排名如何?
  • 8.内蒙古播音主持联考排名有何影响?

关于本站

侵权处理与合作:473708564#qq.com,#换成@就是邮箱

沪ICP备2024102905号

联系我们

关注我们

泰美艺术培训二维码