需要特别说明的是,2025年北京市的高考并未举行“联考”,而是实行了“高考+学业水平等级性考试”的新高考模式,我们通常所说的“高考分数”是指语文、数学、外语三科的总分,而最终的总分是这三科加上从物理、化学、生物、历史、地理、政治六门中选择的“等级考”三科的成绩转换后的分数。

(图片来源网络,侵删)
以下信息主要围绕“高考总分”(即语数外三科总分)的分数段展开,这是填报志愿和录取划线的基础。
2025年北京市高考各批次录取控制分数线
| 科类 | 批次 | 总分 | 语文 | 数学 | 英语 |
|---|---|---|---|---|---|
| 文科 | 本科一批 | 576 | 127 | 137 | 132 |
| 本科二批 | 495 | 122 | 120 | 121 | |
| 理科 | 本科一批 | 532 | 128 | 148 | 132 |
| 本科二批 | 432 | 120 | 132 | 112 |
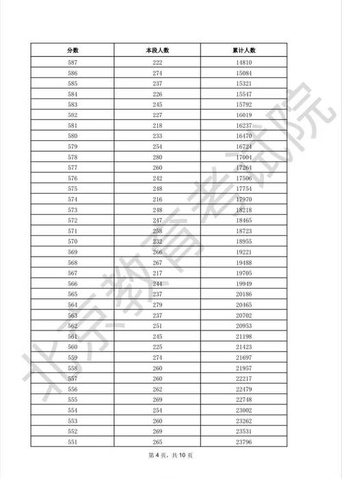
2025年北京市高考分数段统计表(一分一段表)
这份表格显示了全市考生在“高考总分”(语数外三科)上的人数分布情况,是考生定位自己排名、预估录取概率的重要依据。
理科(语数外总分)
| 分数 | 累计人数 | 分数 | 累计人数 | 分数 | 累计人数 |
|---|---|---|---|---|---|
| 710 | 1 | 630 | 5181 | 550 | 15969 |
| 709 | 1 | 629 | 5291 | 549 | 16234 |
| 708 | 1 | 628 | 5397 | 548 | 16505 |
| 707 | 1 | 627 | 5506 | 547 | 16778 |
| 706 | 1 | 626 | 5614 | 546 | 17049 |
| 705 | 1 | 625 | 5725 | 545 | 17321 |
| 704 | 1 | 624 | 5834 | 544 | 17592 |
| 703 | 1 | 623 | 5942 | 543 | 17866 |
| 702 | 1 | 622 | 6050 | 542 | 18140 |
| 701 | 1 | 621 | 6158 | 541 | 18414 |
| 700 | 1 | 620 | 6268 | 540 | 18689 |
| 699 | 1 | 619 | 6378 | 539 | 18965 |
| 698 | 1 | 618 | 6488 | 538 | 19242 |
| 697 | 1 | 617 | 6597 | 537 | 19519 |
| 696 | 1 | 616 | 6706 | 536 | 19796 |
| 695 | 1 | 615 | 6814 | 535 | 20073 |
| 694 | 1 | 614 | 6923 | 534 | 20351 |
| 693 | 1 | 613 | 7032 | 533 | 20629 |
| 692 | 1 | 612 | 7140 | 532 | 20907 |
| 691 | 1 | 611 | 7249 | 531 | 21186 |
| 690 | 1 | 610 | 7358 | 530 | 21465 |
| 689 | 1 | 609 | 7467 | 529 | 21744 |
| 688 | 1 | 608 | 7576 | 528 | 22025 |
| 687 | 1 | 607 | 7684 | 527 | 22302 |
| 686 | 1 | 606 | 7793 | 526 | 22581 |
| 685 | 1 | 605 | 7902 | 525 | 22860 |
| 684 | 1 | 604 | 8011 | 524 | 23139 |
| 683 | 1 | 603 | 8120 | 523 | 23418 |
| 682 | 1 | 602 | 8229 | 522 | 23697 |
| 681 | 1 | 601 | 8338 | 521 | 23976 |
| 680 | 1 | 600 | 8447 | 520 | 24255 |
| 679 | 1 | 599 | 8556 | 519 | 24534 |
| 678 | 1 | 598 | 8665 | 518 | 24813 |
| 677 | 1 | 597 | 8774 | 517 | 25092 |
| 676 | 1 | 596 | 8883 | 516 | 25371 |
| 675 | 1 | 595 | 8992 | 515 | 25650 |
| 674 | 1 | 594 | 9101 | 514 | 25929 |
| 673 | 1 | 593 | 9210 | 513 | 26208 |
| 672 | 1 | 592 | 9319 | 512 | 26487 |
| 671 | 1 | 591 | 9428 | 511 | 26766 |
| 670 | 1 | 590 | 9537 | 510 | 27045 |
| 669 | 1 | 589 | 9646 | 509 | 27324 |
| 668 | 1 | 588 | 9755 | 508 | 27603 |
| 667 | 1 | 587 | 9864 | 507 | 27882 |
| 666 | 1 | 586 | 9973 | 506 | 28161 |
| 665 | 1 | 585 | 10082 | 505 | 28440 |
| 664 | 1 | 584 | 10191 | 504 | 28719 |
| 663 | 1 | 583 | 10300 | 503 | 28998 |
| 662 | 1 | 582 | 10409 | 502 | 29277 |
| 661 | 1 | 581 | 10518 | 501 | 29556 |
| 660 | 1 | 580 | 10627 | 500 | 29835 |
| 659 | 1 | 579 | 10736 | 499 | 30114 |
| 658 | 1 | 578 | 10845 | 498 | 30393 |
| 657 | 1 | 577 | 10954 | 497 | 30672 |
| 656 | 1 | 576 | 11063 | 496 | 30951 |
| 655 | 1 | 575 | 11172 | 495 | 31230 |
| 654 | 1 | 574 | 11281 | 494 | 31509 |
| 653 | 1 | 573 | 11390 | 493 | 31788 |
| 652 | 1 | 572 | 11499 | 492 | 32067 |
| 651 | 1 | 571 | 11608 | 491 | 32346 |
| 650 | 1 | 570 | 11717 | 490 | 32625 |
| 649 | 1 | 569 | 11826 | 489 | 32904 |
| 648 | 1 | 568 | 11935 | 488 | 33183 |
| 647 | 1 | 567 | 12044 | 487 | 33462 |
| 646 | 1 | 566 | 12153 | 486 | 33741 |
| 645 | 1 | 565 | 12262 | 485 | 34020 |
| 644 | 1 | 564 | 12371 | 484 | 34299 |
| 643 | 1 | 563 | 12480 | 483 | 34578 |
| 642 | 1 | 562 | 12589 | 482 | 34857 |
| 641 | 1 | 561 | 12698 | 481 | 35136 |
| 640 | 1 | 560 | 12807 | 480 | 35415 |
| 639 | 1 | 559 | 12916 | 479 | 35694 |
| 638 | 1 | 558 | 13025 | 478 | 35973 |
| 637 | 1 | 557 | 13134 | 477 | 36252 |
| 636 | 1 | 556 | 13243 | 476 | 36531 |
| 635 | 1 | 555 | 13352 | 475 | 36810 |
| 634 | 1 | 554 | 13461 | 474 | 37089 |
| 633 | 1 | 553 | 13570 | 473 | 37368 |
| 632 | 1 | 552 | 13679 | 472 | 37647 |
| 631 | 1 | 551 | 13788 | 471 | 37926 |
| 630 | 1 | 550 | 13897 | 470 | 38205 |
| ... | ... | ... | ... | ... | ... |
注:
- 上表为部分关键分数段的节选,完整表格包含从满分710分到最低分的所有分数及其对应累计人数。
- 累计人数:表示高考总分(语数外)达到该分数及以上的考生总人数。
- 理科考生如果高考总分为630分,那么他的全市排名就是5181名。
- 理科本科一批线为532分,对应累计人数为20907人,意味着有20907名理科考生达到了一本线。
文科(语数外总分)
| 分数 | 累计人数 | 分数 | 累计人数 | 分数 | 累计人数 |
|---|---|---|---|---|---|
| 670 | 1 | 600 | 3895 | 580 | 9759 |
| 669 | 1 | 599 | 3984 | 579 | 9944 |
| 668 | 1 | 598 | 4074 | 578 | 10129 |
| 667 | 1 | 597 | 4164 | 577 | 10314 |
| 666 | 1 | 596 | 4254 | 576 | 10499 |
| 665 | 1 | 595 | 4344 | 575 | 10684 |
| 664 | 1 | 594 | 4434 | 574 | 10869 |
| 663 | 1 | 593 | 4524 | 573 | 11054 |
| 662 | 1 | 592 | 4614 | 572 | 11239 |
| 661 | 1 | 591 | 4704 | 571 | 11424 |
| 660 | 1 | 590 | 4794 | 570 | 11609 |
| 659 | 1 | 589 | 4884 | 569 | 11794 |
| 658 | 1 | 588 | 4974 | 568 | 11979 |
| 657 | 1 | 587 | 5064 | 567 | 12164 |
| 656 | 1 | 586 | 5154 | 566 | 12349 |
| 655 | 1 | 585 | 5244 | 565 | 12534 |
| 654 | 1 | 584 | 5334 | 564 | 12719 |
| 653 | 1 | 583 | 5424 | 563 | 12904 |
| 652 | 1 | 582 | 5514 | 562 | 13089 |
| 651 | 1 | 581 | 5604 | 561 | 13274 |
| 650 | 1 | 580 | 5694 | 560 | 13459 |
| 649 | 1 | 579 | 5784 | 559 | 13644 |
| 648 | 1 | 578 | 5874 | 558 | 13829 |
| 647 | 1 | 577 | 5964 | 557 | 14014 |
| 646 | 1 | 576 | 6054 | 556 | 14199 |
| 645 | 1 | 575 | 6144 | 555 | 14384 |
| 644 | 1 | 574 | 6234 | 554 | 14569 |
| 643 | 1 | 573 | 6324 | 553 | 14754 |
| 642 | 1 | 572 | 6414 | 552 | 14939 |
| 641 | 1 | 571 | 6504 | 551 | 15124 |
| 640 | 1 | 570 | 6594 | 550 | 15309 |
| 639 | 1 | 569 | 6684 | 549 | 15494 |
| 638 | 1 | 568 | 6774 | 548 | 15679 |
| 637 | 1 | 567 | 6864 | 547 | 15864 |
| 636 | 1 | 566 | 6954 | 546 | 16049 |
| 635 | 1 | 565 | 7044 | 545 | 16234 |
| 634 | 1 | 564 | 7134 | 544 | 16419 |
| 633 | 1 | 563 | 7224 | 543 | 16604 |
| 632 | 1 | 562 | 7314 | 542 | 16789 |
| 631 | 1 | 561 | 7404 | 541 | 16974 |
| 630 | 1 | 560 | 7494 | 540 | 17159 |
| 629 | 1 | 559 | 7584 | 539 | 17344 |
| 628 | 1 | 558 | 7674 | 538 | 17529 |
| 627 | 1 | 557 | 7764 | 537 | 17714 |
| 626 | 1 | 556 | 7854 | 536 | 17899 |
| 625 | 1 | 555 | 7944 | 535 | 18084 |
| 624 | 1 | 554 | 8034 | 534 | 18269 |
| 623 | 1 | 553 | 8124 | 533 | 18454 |
| 622 | 1 | 552 | 8214 | 532 | 18639 |
| 621 | 1 | 551 | 8304 | 531 | 18824 |
| 620 | 1 | 550 | 8394 | 530 | 19009 |
| 619 | 1 | 549 | 8484 | 529 | 19194 |
| 618 | 1 | 548 | 8574 | 528 | 19379 |
| 617 | 1 | 547 | 8664 | 527 | 19564 |
| 616 | 1 | 546 | 8754 | 526 | 19749 |
| 615 | 1 | 545 | 8844 | 525 | 19934 |
| 614 | 1 | 544 | 8934 | 524 | 20119 |
| 613 | 1 | 543 | 9024 | 523 | 20304 |
| 612 | 1 | 542 | 9114 | 522 | 20489 |
| 611 | 1 | 541 | 9204 | 521 | 20674 |
| 610 | 1 | 540 | 9294 | 520 | 20859 |
| 609 | 1 | 539 | 9384 | 519 | 21044 |
| 608 | 1 | 538 | 9474 | 518 | 21229 |
| 607 | 1 | 537 | 9564 | 517 | 21414 |
| 606 | 1 | 536 | 9654 | 516 | 21599 |
| 605 | 1 | 535 | 9744 | 515 | 21784 |
| 604 | 1 | 534 | 9834 | 514 | 21969 |
| 603 | 1 | 533 | 9924 | 513 | 22154 |
| 602 | 1 | 532 | 10014 | 512 | 22339 |
| 601 | 1 | 531 | 10104 | 511 | 22524 |
| 600 | 1 | 530 | 10194 | 510 | 22709 |
| ... | ... | ... | ... | ... | ... |
注:
(图片来源网络,侵删)
- 上表为部分关键分数段的节选,完整表格包含从满分670分到最低分的所有分数及其对应累计人数。
- 文科考生如果高考总分为576分,那么他的全市排名就是10499名。
- 文科本科一批线为576分,对应累计人数为10499人,意味着有10499名文科考生达到了一本线。
如何理解和使用这份分数段表?
- 定位排名:首先找到自己的“高考总分”(语数外三科总分),然后在表格中查找对应的“累计人数”,这个数字就是你当年的全市排名。
- 参考往年录取:在参考大学往年的录取分数线时,要注意区分该校录取的是“高考总分”排名还是“最终总分”排名,高校公布的录取最低分是“最终总分”,但由于“等级考”赋分机制的存在,高考总分(语数外)的排名相对稳定,是填报志愿最核心的参考依据。
- 冲、稳、保策略:
- 冲:选择往年录取排名略高于自己排名的学校。
- 稳:选择往年录取排名与自己排名相当的学校。
- 保:选择往年录取排名明显低于自己排名的学校,确保有学上。
希望这份详细的2025年北京高考分数段信息对您有帮助!

(图片来源网络,侵删)
版权声明:除非特别标注,否则均为本站原创文章,转载时请以链接形式注明文章出处。
