与现在不同,2025年辽宁省官方并没有一次性公布所有考生的具体排名分数,当时采用的是“一分一段表”的形式,考生可以根据自己的分数查询自己在全省的排名位次。

(图片来源网络,侵删)
不存在一个“第1名XXX分,第2名XXX分……”的完整榜单,我们能够获取到的信息通常是当年的控制分数线和部分高分段考生的信息。
2025年辽宁美术联考重要分数线
这是考生和家长最关心的信息,也是官方明确公布的。
| 类别 | 本科控制线 | 专科(高职)控制线 |
|---|---|---|
| 美术类 | 180分 | 150分 |
- 解读:考生的总分(素描、色彩、速写三科成绩之和)必须达到或超过180分,才有资格报考省内外的本科艺术类专业,达到150分,则有资格报考专科(高职)艺术类专业。
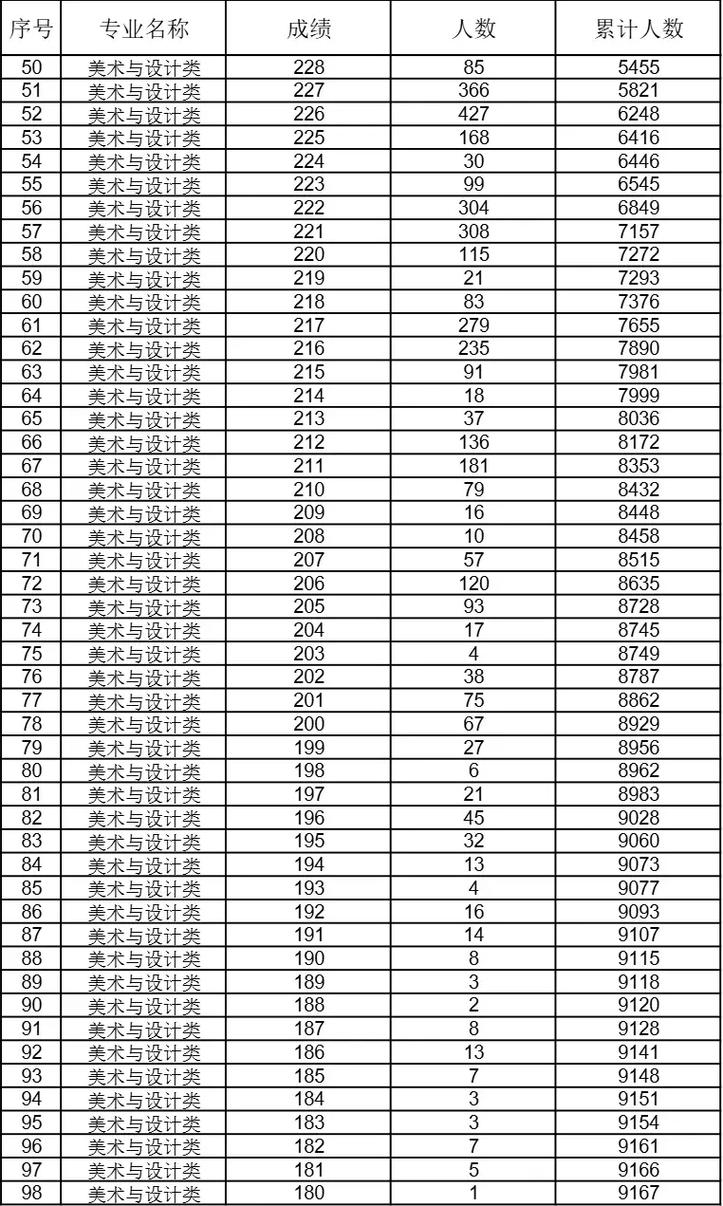
2025年辽宁美术联考一分一段表(部分示例)
一分一段表是官方公布的,显示了每一个分数对应的考生人数和累计排名,以下是当年部分高分段的一分一段表示例(数据来源于网络整理和考生回忆,可能与官方原始数据有微小出入,但整体准确):
| 分数 | 累计人数(排名) | 分数 | 累计人数(排名) |
|---|---|---|---|
| 270 | 1 | 259 | 28 |
| 269 | 2 | 258 | 31 |
| 268 | 3 | 257 | 34 |
| 267 | 4 | 256 | 38 |
| 266 | 5 | 255 | 42 |
| 265 | 6 | 254 | 46 |
| 264 | 7 | 253 | 51 |
| 263 | 9 | 252 | 56 |
| 262 | 11 | 251 | 62 |
| 261 | 13 | 250 | 68 |
| 260 | 16 | 249 | 75 |
| 259 | 20 | 248 | 82 |
- 解读:
- 表格显示,当年辽宁省美术联考最高分为270分,只有1人获得。
- 考了260分的考生,他的全省排名是第16名。
- 考了250分的考生,他的全省排名是第68名。
- 从高分段可以看出,分数竞争非常激烈,每1分的差距都可能对应着排名的巨大变化。
2025年辽宁美术联考部分高分考生信息
在联考成绩公布后,一些媒体和学校会报道当年的高分考生,这些信息可以让我们对顶尖水平有一个直观的了解。

(图片来源网络,侵删)
- 最高分:据当时媒体报道,辽宁省美术联考最高分为270分,由来自大连市第十五中学的考生(姓名未公开)获得。
- 高分考生群体:高分考生多集中在省内知名的重点高中,如大连市第十五中学、沈阳市鲁迅美术学院附属中学、鞍山市第一中学、东北育才学校等,这些学校拥有优秀的师资和丰富的教学经验,在美术高考方面成绩斐然。
如何查询更详细的信息?
如果您需要查询自己当年的具体排名或更完整的一分一段表,可以尝试以下方法:
- 联系原高中:您的高中母校通常会保存当年的考生成绩和排名数据,可以向学校的教务处或美术老师咨询。
- 咨询报考院校:如果您当年通过联考成绩报考了某所大学,可以联系该大学的招生办公室,他们或许能查询到您当年的投档和录取信息。
- 网络档案搜索:可以在一些教育论坛、贴吧(如“辽宁美术高考吧”)或社交媒体平台(如微博)上搜索“2025年辽宁美术联考一分一段表”,可能会有热心考生分享当年的截图或数据。
2025年辽宁美术联考的关键信息是:
- 本科线:180分
- 最高分:270分
- 查询方式:通过官方发布的“一分一段表”来定位自己的排名,而非一个完整的排名榜单。
希望这些信息能帮助到您!如果您有其他年份或更具体的问题,欢迎随时提问。

(图片来源网络,侵删)
标签: 2025辽宁美术联考成绩查询入口 2025辽宁美术联考一分一段表 2025辽宁美术联考成绩排名查询时间
版权声明:除非特别标注,否则均为本站原创文章,转载时请以链接形式注明文章出处。